| Determining the Effect of Velocity on Sensor Selection and Position in Non-Destructive Testing With Magnetic Flux Leakage Method: A Pipe Inspection Gauge Design Study With ANSYS Maxwell |
![]() |
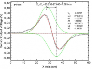
| The magnetic flux leakage (MFL) method, which is among the non-destructive testing (NDT) methods, is frequently used in the determination of discontinuity in ferromagnetic materials. The method focuses on the detection of the MFLs in the discontinuity regions of magnetized samples with the use of magnetic sensors and the analysis of the detected MFL signals. The characteristic of the MFL signal is directly related to the selection of sensors. Sensor selection, on the other hand, depends on the magnitude of the MFL in the discontinuity region. The variation of MFL in the discontinuity region varies with the distance of the discontinuity to the magnetizer (yoke). In this case, the characteristic of the MFL signal is also closely related to the position of the sensor during measurement. Furthermore, the magnetization time of the material has no impact on the characteristics of the MFL signal, but affects its amplitude. As such, the primary goal of this study is to determine the sensor position for the MFL method, which yields the optimal MFL signal at a constant magnetization velocity for natural gas pipes, a ferromagnetic product, using the ANSYS Maxwell simulation software on a 2-D transient model. Subsequently, the effects of crack geometry and magnetization velocity on the MFL signal were examined in the model. Last, the study focused on the selection of potential sensors which can be utilized in the model for the optimal sensor position determined. ANSYS Maxwell simulation results suggest that the sensor needs to be positioned at the exact center of the magnetizer and at the closest distance to the material. It was determined that increased magnetization velocity results in a decrease in MFL signal amplitude. Accordingly, a pipeline inspection gauge (PIG) device was 3D-designed and produced using the ANSYS Maxwell simulation software, with the optimal magnetization velocity (PIG velocity), optimal sensor position, and sensor selection. |
| Discontinuity Detection System in Marble: Analysis of the Time-Frequency Characteristics of Ultrasonic P-waves |
![]() |
| This study attempted to determine both the presence and the appearance of the surface of a crack artificially created in a marble block without axial loading or compression by FFT analysis of ultrasonic longitudinal sound waves by scanning the surface. In such respect, the study differs from other studies in the literature. The aim of the study was to minimize marble waste by determining the most appropriate slab cut direction based on the orientation of the fracture or discontinuity within the marble block. During location-controlled scanning of the marble surface, mean longitudinal wave velocity, Young modulus, Poisson ratio and longitudinal wave velocity variation data were obtained using a V-Meter Mark IV™ ultrasonic test device. For each location, longitudinal ultrasonic velocity data was taken at 250 kHz sampling rate and 256 data points were created. Data from the computer environment were subsequently reorganized using the MATLAB software and FFT conversions for such velocity data were obtained for each location. Then, the peaks of the FFT transformation components were determined by using the “Findpeaks” function in MATLAB‘s signal processing toolbox. The number of peaks in the 50-60 kHz range was determined for each location. A single difference was determined between the peak numbers at the locations within the cracked and uncracked regions. By examining the FFT graphs, it was determined that such additional peak occurring in the cracked regions appeared as a second frequency component near the dominant frequency values. Points with secondary frequency were recorded as 1, while all other points were recorded as 0 in a new matrix. Such data matrices created for each sample were examined by visualization in the form of surface graphics. Using these graphics, the orientations of discontinuities within the marble block may be determined according to the scanning surface. |
| Crack identification system on MOH cold rolled grain oriented sheets: Application of K-fold cross validated BRANN |
![]() |
| To increase efficiency of transformers, iron (hysteresis and Fuko losses), copper and abnormal losses must be prevented. Hysteresis loss may be significantly reduced by adding silicon to iron, and Fuko loss may be significantly reduced by using cold-rolled grain-oriented steel (CRGO) in the form of thin sheets with high resistance. To reduce abnormal losses, it is necessary not to use CRGO with ferromagnetic features including cracks in the core sequence. In line with this, currently, the magnetic flux leakage (MFL) method is commonly used to research cracks in ferromagnetic materials. Generally, literature studies researched the variation characteristics of MFL signals collected with magnetic sensors and size of amplitude values according to the physical properties (crack width, crack depth, etc.) of the crack in the ferromagnetic material. Different to the literature, our primary aim in this study is to determine this variation according to the type and geometric features of an artificial full crack with known physical properties created in MOH CRGO steel. The secondary aim of our study is to develop an artificial neural network predicting the type and geometric features of a full crack with unknown geometric features using the data obtained. In line with this, our study first produced an MFL measurement system. Then, artificial full crack samples were prepared with different types and geometric features using MOH CRGO steel. These artificial full crack samples were magnetized by being placed in the core of an electromagnet with 50 kHz AC signal and the surface of the material was scanned in a single dimension with a location-controlled fluxgate sensor. Harmonics of signals obtained from the fluxgate sensor were investigated with DSP lock-in amplifier and the amplitude values for the harmonics with greatest variation were uploaded to the computer. Finally, 3 different Bayesian regularized artificial neural networks (BRANN) were developed and trained using the harmonic amplitude values for full crack samples with known geometric features and used to predict the type and geometric features of full cracks with unknown geometric features. The first of these BRANN was used to identify the fixed or variable width of the full crack type, while the others were used to find the geometric features according to the full crack type. For the BRANNs trained with the K-fold cross-validation method, accuracy degrees of R = 0.99934, R = 0.99999 and R = 0.91654 were obtained, respectively. The trained BRANNs provided results compatible with reality for artificial full crack models with unknown crack type and geometric properties. |
| Increasing Energy Efficiency With Fuzzy Logic Control in FPGA-Based Electromagnetic Stirrer |
![]() |
| In this study, a new field-programmable gate array (FPGA)-based electromagnetic stirrer system was developed allowing mixing on a single axis, and the energy efficiency of the system was increased with fuzzy logic control. The electromagnetic stirrer system was designed with three phases and each phase is fed with pulsewidth modulation (PWM) voltage with 120° phase difference. Ranked control of phases in the system used the FPGA structure in the myRIO® embedded system to determine the PWM signal production, increase intervals for phase frequencies, and rotation rate of the magnetic stir bar. In the system, to increase the energy efficiency with fuzzy logic control, the ARM® microcontroller structure in the myRIO® embedded system was used. Programming of the myRIO® embedded system was provided through the graphic-based LabVIEW ® software. In situations where the system is operated with 100% duty cycle, the force affecting the magnetic stir bar should be continuous and have fixed value until the next phase change. As a result, the magnetic stir bar performs more than 120° rotation and a braking effect of the force is observed. To resolve this situation, fuzzy logic control ensured operation of a different duty cycle without loss of speed of the stir bar. Thus, the energy efficiency of the system was increased with lower current and lower stimulation duration. Within the scope of this article, the experimental results obtained about the structure, control, and energy efficiency of the electromagnetic stirrer system are discussed in detail. |
| Buried Magnetic Material Detection System: An SVM Algorithm Application |
![]() |
| In recent times, studies about remote-sensing methods have focused on improving variables like sensing distance, sensitivity, and power consumption of available remote-sensing methods. The main target of this study is to improve these variables for the magnetic anomaly detection (MAD) method, in addition to determining upper surface geometry of the sheath with the support vector machine (SVM) algorithm to allow detection of buried ferromagnetic-sheathed explosives, minimize the number of false alarms, and thus shorten the scanning time. The classification process with the SVM algorithm separates this study from others. In line with this, instead of an external magnetic field source, in this study, the Earth's magnetic field was used with a TE100 fluxgate sensor, which has very low power consumption, used as a magnetic sensor to develop a highly sensitive new magnetic measurement and detection system. The system identifies anomalies in the vertical component of the Earth's magnetic field due to the magnetic characteristics of the buried sample in order to determine both the coordinates of the buried object within the scanning field and the upper surface geometry. The system is formed using a five-axis movement CNC platform including sensors and camera. Software was developed using python programming language with a QT graphical user interface (GUI) in order to control the CNC platform, take photographs of the soil, and process sensor data to ensure identification of the upper surface shape of the object under the soil. After obtaining all data for a 30×30 cm 2 scanning area, the software colors the data from blue to red and visualizes this transparently above a photograph of the soil on the monitor. After this stage, a model is created using thresholding, selective search algorithm, and SVM in order to identify the location and upper surface shape of the sample located within the measurement region. Tests performed after SVM training determined the system can classify the upper surface geometry of buried samples with 88% success. |
| A New Artificial Neural Network-Based Failure Determination System for Electric Motors |
![]() |
| In this study, a new measurement system was developed to determine failures and to define the level of failure that may occur in bearings and rotor bearings or in foot of motor in single phase capacitor start motor. In the system, the vibratory operation of the motor is provided by connecting different screws on the motor’s rotor mounted flywheel or by gradually removing the nut bolts of motor foot. The VB3 vibration sensor outputs were recorded to the computer with LabVIEW program at 1 ms intervals for one minute. The changing characteristics of sensor output for each experiment had more than one frequency component; therefore, Fast Fourier Transform (FFT) was performed for determining such components. When the obtained FFT graphs were analyzed, it was determined that the vibrations had harmonics of 50 Hz and its multiples; and it was observed that the frequency and amplitude values of first 5 harmonics could be used for determining the presence, type and level of failure but there was a nonlinear relation between each other. Therefore, 2 different artificial neural networks (ANN) customized separately were developed for determining the type and rate of the failure of motor. 80%, 10% and 10% of available data were reserved for training, testing and verification, respectively, and the ANN was trained. Accuracy degree for the ANN in the estimations following the training stage was calculated as R = 0.97–0.98. Furthermore, the results of ANN were compared with the results obtained using Sequential Minimal Optimization, Naive Bayes (NB) and J48 algorithms; and it was determined that the accuracy degree of ANN was higher. After this, a program was developed in MATLAB in order to work 2 ANNs with highest success together. Lastly, a system consisting of Raspberry Pi and a 7″ LCD screen, similar to the multimedia system in cars, was created to use at industrial applications. |
| STUDIES TO INCREASE BARREL EXIT VELOCITY FOR FOUR-STAGE COIL-GUN |
![]() |
| The operating principle for electromagnetic launchers (EMLs) is based on electromagnetic theory. The process in EMLs involves the creation of a varying or moving strong electromagnetic field, and ensuring movement of the projectile planned for launch with this electromagnetic field. Conceptually, there is no limit to the movement velocity of an electromagnetic field so there is no velocity limit for the object to be launched. In classic gun and satellite launch systems, the barrel exit velocity of the projectile can only be set during the production process. One of the features that make EMLs interesting is that they are very open to development. In line with this, this article designed a “new electromagnetic coil-gun” providing velocity to a ferromagnetic projectile without any mechanical force with an instantaneously changing field created by four ranked stator coils. For velocity of the projectile, data from optical systems inserted at the beginning of the stator coils were read and processed with an FPGA project developed for trigger controls. This project designed on the LabVIEW FPGA module was run on a NI MyRIO-1900 with a Xilinx FPGA board. The developed coil-gun had the coil locations and coil trigger points changed to increase barrel exit velocity and thus optimize the system. This article was completed using an FPGA project run with parallel processing and differs from other studies in the literature in that all pieces affecting the barrel exit velocity of the coil-gun were movable. In the study, data obtained at the end of each launch procedure were recorded on a flash disk inserted in the MyRIO and observed in real-time on a monitor. Variables like the voltage values applied to the coils, coil length, trigger points, and distances between coils were researched for effects on the maximum barrel velocity that can be obtained from the launcher and discussed in detail in this article. |
| THE DETERMINATION OF BURIED MAGNETIC MATERIAL FROM VARIOUS HEIGHTS: A NEURAL NETWORK APPLICATION |
![]() |
| This article aims at determining the anomalies created by buried magnetic materials on the horizontal component of earth’s magnetic field through the KMZ51 anisotropic magnetoresistive sensor (AMR) series and determining the upper surface image of the material through the sensor series located in different positions per soil by processing the sensor data obtained due to anomaly at different heights from the soil surface using a feedforward artificial neural network (ANN) trained with the Levenberg-Marquardt (LM) backpropagation algorithm. In our study, in this direction, first, a mechanical scanning system ensuring the 3-D movement of the sensors, a data capture module to process the data transmitted from the KMZ51 AMR sensors and to transmit to the computer, and a magnetic measurement system composed of a computer software package to evaluate and record the data transmitted to the computer were established. Afterward, the magnetic materials with known magnetic, chemical, and geometrical properties were buried in soil containing 28.5% magnetic particles and 4.1% natural moisture with the help of the measurement system and the voltage changes in AMR sensors resulting from the anomaly were transmitted into the computer through the 2-D movement of the platform. This process was repeated for five different heights. The voltage values obtained were converted into a data matrix; then, the undesired noises in data resulting from the magnetic character of soil were cleared by filtering through the median and the base. Such cleaned data were converted into black and white images with a threshold value calculation method for conversion into black and white in grayscale histograms developed by “Otsu”; and the upper surface image of the buried material was determined. Finally, a feedforward ANN using the LM backpropagation algorithm was trained with the data measured from 0-, 1.5-, 3-, 4.5-, and 6-cm heights from the magnetic material; and the voltage values measured from 3- and 6-cm heights from the magnetic material were provided to the ANN as inputs, respectively, and thus, the voltage values for the same material at 0-cm height were found. Thereby, the upper surface image of the material could be determined by the same way as that obtained from 0-cm height even though the sensor series is at a different position compared with the soil surface through the ANN developed. Although many magnetic materials were tested, the results of a cuboid and a cylindrical material were provided within the scope of our study article and the performance of the ANN was discussed. In addition, the success of the ANN in different soil mixtures was confirmed for these two materials. |
| DESIGN AND OPTIMIZATION OF DELPHI-BASED ELECTROMAGNETIC COILGUN |
![]() |
| In classical gun and satellite launching systems, noise, flame, and hazardous gasses occur during the explosion of gunpowder, and it is possible to change the muzzle velocity of projectile only during the production phase. In addition, negative aspects of classical guns include the storage of munitions, their decay in time, high amount of their mass, and their high cost. In this paper, “A New Electromagnetic Coilgun” is designed to allow acceleration of a ferromagnetic projectile with the help of instantaneous alternate current applied on four sequential stator coils without using any mechanical boosters. programmable interface controllers microcontroller software and Delphi software were used to obtain the data from optic systems placed at the beginning of stator coils for gradual velocity measurement of the projectile, to process the same, and to perform triggering checks. Furthermore, such Delphi-based software allowed to improve the muzzle velocity by changing the triggering time for coils and, thus, to optimize the system. This paper is distinguished from other studies in the literature in terms of the software used and the design of accelerating coil. Data communication was ensured through the serial port of the PC during the launching process. The study examined the effects of variables such as the voltage applied on coils, number of turns of the coil, and the number of capacitors on the maximum muzzle velocity that may be obtained through the launcher and these were discussed in detail in the scope of the paper. |
| AN APPLICATION OF BRANN AND MFL METHODS: DETERMINING CRACK TYPE AND PHYSICAL PROPERTIES ON M5 STEEL SHEETS |
![]() |
| Magnetic flux leakage (MFL) method is used frequently in researches on cracks on ferromagnetic materials. Recent studies on this method focused on the improvement of low power consumption and sensor sensitivity. Generally, it was determined as to how the changing characteristics of MFL signals collected through magnetic sensor and the size of amplitude value of signal were changed based on the physical properties of crack on the ferromagnetic material (width of crack, depth of crack, etc.). As different from literature, primary purpose of our study was determining how this change occurred based on the type and physical properties of an artificial crack that were with known physical properties and that were formed with M5 directed steel layers; and the secondary purpose of our study was to develop an artificial neural network estimating the type and physical properties of a crack with unknown physical properties in the light of the data obtained. Accordingly in our study, firstly a magnetic measurement system was produced consisting of a mechanical scanning system to ensure three-dimensional movement of sensor, of a data collection module to process the data from sensor and to send the same to the computer, and of a computer software to evaluate the data from computer and to record the same. Then, artificial crack samples of different types and physical properties were prepared from M5 samples in the shape of a plate. These artificial crack samples were magnetized by placing on a core that was converted into electromagnets using 50 kHz AC signal; and the surface of material was scanned one-dimensionally with position controlled fluxgate sensors. The sensors created in fluxgate sensor based on the position were examined in terms of harmonics with DSP Lock-in Amplifier; and the amplitude values of harmonics showing the biggest change were included in the computer. Following the determination of changing graphics based on the scanning lengths of MFL signals, the mathematical curves and formulas best suiting to the characteristics of such change were determined. The changes of variables in such mathematical curve formulas were analyzed based on the type and physical properties of crack. Lastly, 4 different BRANNs (Bayesian regulated artificial neural networks) were developed estimating the type and physical properties of crack that were using the MFL signals of artificial crack samples with known physical properties and that were trained accordingly and that had unknown physical properties. First of those four was used to determine the type of crack and the other three were used to find the depth, width, lower and upper sound thickness values of crack based on the type of crack. Accuracy degrees were obtained from those BRANNs that were obtained during the training stage, respectively as R = 0.998, R = 0.959 and R = 0.964. The BRANNs trained provided results corresponding to the actual for artificial crack models with unknown crack types and physical properties. |
| A NEW MEASUREMENT SYSTEM USING MAGNETIC FLUX LEAKAGE METHOD IN PIPELINE INSPECTION |
![]() |
| Today, natural gas and oil, called main energy sources, are transported by pipelines M long distances. Defects (corrosion, cracks, dents) in the buried pipelines can cause loss of life, environmental pollution and economic loss. Recently, devices called “Pipeline Inspection Gauge (PIG)” are used for non-destructive evaluation (NDE) of defects in pipelines. In these devices, the magnetic flux leakage (MFL) technique comes into prominence as the inspection method. However, when the literature is examined, a study that examines the speed variable for defect detection has not been found. In this study, two new PIGs which can be used to investigate the speed variable while determining defects in pipelines are designed. For these new designs, a new magnetic measurement system with KMZ51 AMR sensors is developed. The voltage values of the sensors in the measurement system are saved to the computer by using LabVIEW-based software in sequential order via the NI USB-6210 data acquisition card. This data is also displayed on LCD screens by using MyRIO 1900. In the article, the mechanics of the developed system, its electronics and its software are examined in detail. Moreover, the usability of these new designs in determining pipeline defects are examined through an example experiment result with the Origin analysis program. |
| DISCONTINUITY INSPECTION IN PIPELINES: A COMPARISON REVIEW |
![]() |
| Today’s main energy sources; natural gas, petrol and petroleum products are transported via pipelines that are safe at long distances. Most of these pipelines are buried and their integrity is highly important. Deformations like corrosions, dents and cracks destruct the integrity of pipeline and they can cause highly dangerous damaging results. Loss of lives, economical losses and environmental pollution can be given as an example of the problems that may occur. Prevention of such adversities before they occur is possible by inspection of pipelines at specific intervals. In recent years, the devices named “Pipeline Inspection Gauge (PIG)” and designed according to Non-destructive Evaluation (NDE) techniques are used for inspection without destructing pipelines. In this study, the importance of pipeline inspection is firstly emphasized and the studies about the inspection of pipelines at literature are examined. In addition, the usage purposes of PIGs, the basics of Non-destructive Evaluation technologies and the samples of applications at pipelines are examined. According to data obtained from the study, suggestions are made about pipeline inspection. |
| CAN A WEARABLE STRAIN SENSOR BASED ON A CARBON NANOTUBE NETWORK BE AN ALTERNATIVE TO AN ISOKİNETIC DYNAMOMETER FOR THE MEASUREMENT OF KNEE-EXTENSOR MUSCLE STRENGTH? |
![]() |
| This study aimed to find out whether a wearable strain sensor including thermoplastic polyurethane composite with a multi-walled carbon nanotube network could be a viable alternative to an isokinetic dynamometer for the measurement of knee-extensor muscle strength. For the first time, the voltage-torque and angle-time relations of the sensor were determined to allow a comparison between the angle-dependent torque changes of the dynamometer and the sensor. This comparison suggested that the torque-angle relations of the dynamometer and the sensor did not have the same characteristics. In this regard, the sensor may be used in the torque measurements due to the moderate correlation between the torque values determined via the isokinetic dynamometer and the sensor and due to the significant difference between low and high torque values of the sensor. By the same token, the torque-angle graph of the sensor may be more informative than that of the dynamometer in evaluation of knee problems. |
| A NEW ELECTROMAGNETIC HELICAL COILGUN LAUNCHER DESIGN BASED ON LABVIEW |
![]() |
| In this paper, a new helical coil electromagnetic launcher is designed, which launches a magnet projectile without using any mechanical launching equipment, but by applying momentary varying current to the helical coil. For measuring the velocity of the magnet projectile in different stages, a LabVIEW-based software and hardware system is developed, and it is also used for improving the performance of the output velocity of the magnet projectile by changing the ignition time of the coils. This paper distinguished the new accelerator coil design and the software, which uses LabVIEW for the first time in this area. With the LabVIEW-based software, optical sensor data are acquired and processed, and ignition triggering control is carried out. Ignition timings on sequential four helical coils are optimized to produce the maximum acceleration in each coil, and thus the maximum velocity of the magnet projectile at output. An NI Data Acquisition 6010 data acquisition card is used for communication and gathering information throughout the entire launching process. In addition, the effects of changing the current magnitude, ignition time, magnet projectile length, and diameter to the output velocity of magnet projectile are investigated and discussed in detail. |
| A MAGNETIC MEASUREMENT SYSTEM AND IDENTIFICATION METHOD FOR BURIED MAGNETIC MATERIALS WITHIN WET AND DRY SOILS |
![]() |
| In this paper, a new magnetic measurement system is developed to determine upper surfaces of buried magnetic materials, particularly land mines. This measurement system uses the magnetic-anomaly-detection method. It also has intelligent identification software based on an image matching algorithm. It is aimed to determine and identify the buried ferromagnetic materials with minimum energy consumption. It is concentrated on the detection and identification of the shapes of upper surfaces of buried magnetic materials in dry and wet conditions. The effect of humidity in the detection process for detection is tested. In this paper, we used sensor images to identify various ferromagnetic materials and similar objects. Sensor images of soils at various humidities covering the objects were obtained. We used the speeded-up-feature-transform algorithm in the comparison process of the images. Dry soil sample images match with the corresponding wet soil samples with the highest matching rate. The images for different objects can easily be distinguished by the matching process. |
| ANOMALY DETECTION WITH LOW MAGNETIC FLUX: A FLUXGATE SENSOR NETWORK APPLICATION |
![]() |
| Recent studies on remote detection methods were mostly for improving variables like sensing distance, sensitivity and power consumption. Especially using anisotropic magneto-resistive sensors with low power consumption and high sensitivity for detecting subsurface magnetic materials became very popular in last decades. In our study, for detecting subsurface materials, we have used fluxgate sensor network for having even higher sensitivity and also minimizing the power consumption by detecting the changing rates of horizontal component of earth’s magnetic flux which is assumed to be very low. We have constituted a magnetic measurement system which comprises a detector system, which has a mechanism enables sensors to move in 3-D space, a data acquisition module for processing and sending all sensor information, and a computer for running the magnetic flux data evaluation and recording software. Using this system, tests are carried out to detect anomalies on horizontal component of earth’s magnetic flux which is created by different subsurface materials with known magnetic, chemical and geometric properties. The harmonics of horizontal component of earth’s magnetic flux in scanned area are analyzed by the help of DSP Lock-In amplifier and the amplitudes of high variation harmonics are shown as computer graphics. Using the graphic information, the upside surface geometry of subsurface material is defined. For identifying the magnetic anomalies, we have used the scale-invariant feature transform (SIFT)-binary robust invariant scalable keypoints (BRISKs) as keypoint and descriptor. We used an algorithm for matching the newly scanned image to the closest image in database which is constituted of mines and possible other metal objects like cans, etc. Results show that, if the proposed detection system is used instead of metal detectors which cannot distinguish mines from other metal materials and alert for every type of metal with different geometries, it can be said that miss alarm count, work force and time can be decreased dramatically. In this paper, mostly the setup of the system is described and in Appendix A some experimental outputs of the system for different geometries of metal samples are given. And also for comparing the results of the proposed system, additional experiments are carried out with a different type of sensor chip, namely KMZ51, and also given in Appendix A. |
| NEW REAL TIME TEMPERATURE MONITORING AND EVALUATION SYSTEM |
![]() |
| The storage of many drugs, serum and vaccines at specified temperature limit is very important. Therefore, it is necessary to read and record the ambient temperature and control the refrigerating device according to the limiting values specified by the user. Taking into account these requirements, a new PIC microprocessor-based temperature monitoring system that triggers the DS18B20 temperature sensor and controls the running of the refrigerator system is designed and developed. At the controlling operation, performed by this system, temperature limits are specified by the user. In case these limit values are exceeded, a warning message is sent to the user through GSM module. Furthermore, the temperature values that are read between the time intervals specified by the user are sent to a GLCD screen and presented in a graphical form. The temperature readings can be transferred to the computer environment as text file through a Visual Basic based interface with using a serial port. At this system which has one year data storage capacity, it is possible that the temperature values can be transferred to the computer by wireless communication facility. Differently from the present systems, recording, evaluation, warning and device control operations are performed in the same system. In the present paper, the system operation and its performance at the fields of application are expressed in detail. |
| A STUDY ON THE PERFORMANCE OF MAGNETIC MATERIAL IDENTIFICATION SYSTEM BY SIFT-BRISK AND NEURAL NETWORK METHODS |
![]() |
| Industry requires low-cost, low-power consumption, and autonomous remote sensing systems for detecting and identifying magnetic materials. Magnetic anomaly detection is one of the methods that meet these requirements. This paper aims to detect and identify magnetic materials by the use of magnetic anomalies of the Earth’s magnetic field created by some buried materials. A new measurement system that can determine the images of the upper surfaces of buried magnetic materials is developed. The system consists of a platform whose position is automatically controlled in x-axis and y-axis and a KMZ51 anisotropic magneto-resistive sensor assembly with 24 sensors mounted on the platform. A new identification system based on scale-invariant feature transform (SIFT)-binary robust invariant scalable keypoints (BRISKs) as keypoint and descriptor, respectively, is developed for identification by matching the similar images of magnetic anomalies. The results are compared by the conventional principal component analysis and neural net algorithms. On the six selected samples and the combinations of these samples, 100% correct classification rates were obtained. |
| A NEW AXIAL FLUX PERMANENT MAGNET SYNCHRONOUS ALTERNATOR AUTONOMOUSLY ADAPTED TO WIND SPEEDS |
![]() |
| In this study, a new axial flux permanent magnet synchronous generator (PMSA) design and prototyping procedures are presented. It is composed of a stack of rotor-stator blocks on the same shaft. In other words, it is made up of four alternators based on axial flux permanent magnets that can generate electrical energy within the limits of rotor rotational speed with varying wind speeds. A control system is also introduced to the generator. The control system connects or disconnects the stator blocks to the load according to the changing speeds of the wind. It produces electrical energy with stable voltage, frequency and variable power at the output. The efficiency of the generator is tested with different load and speed conditions. It is observed that the efficiency is high when the speed is low in case the load is connected only one stator. The efficiency is high when the speed is above 200 rpm for the case where several stators are connected to the load. It can be seen that the incremental structure of the generator is suitable for changing speeds of the wind. It can have high efficiency for both low and high speeds with changing the number of stator blocks connected to the load. |
| NEW MAGNETIC MEASUREMENT SYSTEM FOR DETERMINING METAL COVERED MINES BY DETECTING MAGNETIC ANOMALY USING A SENSOR NETWORK |
![]() |
| The most commonly used remote sensing methods are used in such applications as the aquistic emmission, ground penetration radar (GPR) detection, electromagnetic induction spectroscopy, infrared imaging, thermal neutron activation, nuclear quadruple resonance, X-ray back scattering, neutron back scattering and magnetic anomaly detection. In deciding which type of method has to be used for detection, the variables such as the type of object, material used, position, geographical and environmental conditions, etc. play important roles. In recent years, studies are mainly concentrated on the improvement of detection distance, accuracy, power consumption aspects of remote sensing methods. In the present study, the same concerns are taken into account and a new magnetic measurement system is developed in this context. The system is made up of a sensor network consisting of high sensitive and low power anisotropic magneto-resistive KMZ51 sensors. The sensor network can detect the magnetic anomalies of vertical component of earth’s magnetic field created by buried objects as metal covered mines. In the present paper, the effects of physical properties of metal covered materials to magnetic anomalies have been studied. The sensor network is composed of 24 sensors. The voltage levels of each sensor are measured one-by one and transferred to a digital computer where the distribution of the voltages in x-y plane is plotted as 3D graphics. Furthermore, the performance of the system on the detection of buried metallic mines and determination of their shapes have been investigated. |
| AUTOMATIC SEGMENTATION, COUNTING, SIZE DETERMINATION AND CLASSIFICATION OF WHITE BLOOD CELLS |
![]() |
| The counts, the so-called differential counts, and sizes of different types of white blood cells provide invaluable information to evaluate a wide range of important hematic pathologies from infections to leukemia. Today, the diagnosis of diseases can still be achieved mainly by manual techniques. However, this traditional method is very tedious and time-consuming. The accuracy of it depends on the operator’s expertise. There are laser based cytometers used in laboratories. These advanced devices are costly and requires accurate hardware calibration. They also use actual blood samples. Thus there is always a need for a cost effective and robust automated system. The proposed system in this paper automatically counts the white blood cells, determine their sizes accurately and classifies them into five types such as basophil, lymphocyte, neutrophil, monocyte and eosinophil. The aim of the system is to help for diagnosing diseases. In our work, a new and completely automatic counting, segmentation and classification process is developed. The outputs of the system are the number of white blood cells, their sizes and types. |
| A NEW WIRELESS ASYNCHRONOUS DATA COMMUNICATIONS MODULE FOR INDUSTRIAL APPLICATIONS |
![]() |
| All the sensors such as temperature, humidity, and pressure used in industry provide analog outputs as inputs for their control units. Wireless transmission of the data has advantages on wired transmission such as USB port, parallel port and serial port and therefore has great importance for industrial applications. In this work, a new wireless asynchronous data communications module has been developed to send the earth magnetic field data around a ferromagnetic material detected by a KMZ51 AMR sensor. The transmitter module transmits the analog data obtained from a source to a computer environment where they are stored and then presented in a graphical form. In this design, an amplitude shift keying (ASK) transceiver working at the frequency of 433.92 MHz which is a frequency inside the so called Industrial Scientific Medical band (ISM band) used for wireless communications. The analog data first fed into a 10-bit ADC controlled by a PIC microcontroller and then the digital data is sent to the transmitter. A preamble bit string is added in front of the data bits and another bit string for achieving synchronization and determination the start of the data is used. The data arriving at the receiver is taken by the microcontroller and sent to a LCD display as well as the serial port of a computer where it is written in a text file. A Visual Basic based graphics interface is designed to receive, store and present the data in the form of graphical shapes. In the paper, all the work has been explained in detail. |
| IDENTIFICATION OF MATERIALS WITH MAGNETIC CHARACTERISTICS BY NEURAL NETWORKS |
![]() |
| In industry, there is a need for remote sensing and autonomous method for the identification of the ferromagnetic materials used. The system is desired to have the characteristics of improved accuracy and low power consumption. It must also autonomous and fast enough for the decision. In this work, the details of inaccurate and low power remote sensing mechanism and autonomous identification system are given. The remote sensing mechanism utilizes KMZ51 anisotropic magneto-resistive sensor with high sensitivity and low power consumption. The images and most appropriate mathematical curves and formulas for the magnetic anomalies created by the magnetic materials are obtained by 2-D motion of the sensor over the material. The contribution of the paper is the use of the images obtained by the measurement of the perpendicular component of the Earth magnetic field that is a new method for the purpose of identification of an unknown magnetic material. The identification system is based on two kinds of neural network structures. The MultiLayer Perceptron (MLP) and the Radial Basis Function (RBF) network types are used for training of the neural networks. In this work, 23 different materials such as SAE/AISI 1030, 1035, 1040, 1060, 4140 and 8260 are identified. Besides the ferromagnetic materials, three objects are also successfully identified. Two of them are anti-personal and anti-tank mines and one is an empty can box. It is shown that the identification system can also be used as a buried mine identification system. The neural networks are trained with images which are originally obtained by the remote sensing system and the system is operated by images with added Gaussian white noises. |
| DESIGN AND DETERMINATION OF STATOR GEOMETRY FOR AXIAL FLUX PERMANENT MAGNET FREE ROD ROTOR SYNCHRONOUS MOTOR |
![]() |
| During designing a new axial flux permanent magnet free rod rotor synchronous motor, it is important to know before hand in which phase the largest angular velocity can occur, what is the ways to reduce the power consumption, how to achieve to increase or decrease the rotation speed by changing the core geometry. Therefore, presenting these preliminary information that are necessary for the design of a free rod rotor synchronous motor to the researchers is the aim of this work. In this respect, this study presents the design and geometrical dimensions of the stator for a new synchronous motor which is an axial flux permanent magnet free rod machine with three, four, five and six phases. This type of motors are an innovative approach especially for the applications used in industrial stirrers. Each type of stator is designed such that it has an appropriate number of phases. The rotating magnetic field over the stator is established by a PIC based microcontroller feeding the interface circuit to the stator wounds. The maximum angular speeds of bar magnet rotors with four different lengths and masses are calculated theoretically and determined experimentally. In addition, the effects of the distance between the rotor and stator, the angular speed of the rotor within the limits of the operation, and the volume of the liquid to be stirred to the power applied are investigated. Furthermore, the effects of the lengths and angular speeds of the bar magnet rotors to the distance between the rotor and stator are determined. In the light of the information obtained and taking into account the power used, the most appropriate parameters and variables such as the stator geometry changing with the phase used, the length of rotor, the distance between the rotor and stator and the angular speeds of rotor are determined. |
| NUMERICAL ANALYSIS FOR REMOTE IDENTIFICATION OF MATERIALS WITH MAGNETIC CHARACTERISTICS |
![]() |
| There is a variety of methods used for remote sensing of objects such as acoustic, ground penetration radar detection, electromagnetic induction spectroscopy, infrared imaging, thermal neutron activation, core four-pole resonance, neutron backscattering, X-ray backscattering, and magnetic anomaly. The method that has to be used can be determined by the type of material, geographical location (underground or water), etc. Recent studies have been concentrated on the improvement of the criteria such as sensing distances, accuracy, and power consumption. In this paper, anomalies created by materials with magnetic characteristics at the perpendicular component of the Earth magnetic field have been detected by using a KMZ51 anisotropicmagnetoresistive sensor with high sensitivity and low power consumption, and also, the effects of physical properties of materials on magnetic anomaly have been investigated. By analyzing the graphics obtained by 2-D motion of the sensor over the material, the most appropriate mathematical curves and formulas have been determined. Based on the physical properties of the magnetic material, the variations of the variables constituting the formulas of the curves have been analyzed. The contribution of this paper is the use of the results of these analyses for the purpose of identification of an unknown magnetic material. This is a new approach for the detection and determination of materials with magnetic characteristics by sensing the variation at the perpendicular component of the Earth magnetic field. The identification process has been explained in detail in this paper. |
| MİNE IDENTIFICATION AND CLASSIFICATION BY MOBILE SENSOR NETWORK USING MAGNETIC ANOMALY |
![]() |
| In this paper, a new method is proposed to identify and classify the data obtained by the sensor network (SN) for the detection of mines. This method is used for the identification of antitank and antipersonnel mines and classification of buried objects within a target region. In this paper, a mobile SN is used to detect mines and some other objects buried and creating magnetic anomaly in and around the region where they are found, with the behavior of the individual sensors swarming onto the area under which a mine or any other object is buried. The process of collecting data by the SN and modeling it mathematically are explained in detail. The SN is modeled as a fictitious two-dimensional spatial impulse sampler. This paper is motivated by clearing the territories of mine fields to open them to agriculture. It is very important because, currently, in some countries, very fertile territories around the borders are covered by buried mines. The approach is basically based on magnetic anomaly measurements, which directly tackles the subregions corresponding to buried objects whether they represent objects that are separately located or occluded by other objects. It is based on a new developed method that is called “the back-most object detection and identification algorithm.” This method is fully automatic, and there is no human intervention throughout the process. In this paper, classification of objects is based on their well-known shapes and dimensions. Therefore, there is no need for sophisticated learning algorithms to achieve classification. The experimental results are given both for detection and identification of a single mine and classification of a number of mines and any other objects that have a potential of giving false alarms in a target region. |
| OPTIMIZATION OF PARAMETERS ACTING ON A PROJECTILE VELOCITY WITHIN A FOUR STAGE INDUCTION COIL-GUN |
![]() |
| In this work, a four stage induction coil-gun has been designed and the parameters acting on the bullet velocity has been investigated. The mutual inductance variation depending on the bullet coil position, determination of firing point exposed to the maximum force with respect to the length, and appropriate material selection for the bullet coil have been analyzed. Optimum solutions for these parameters have been presented. |
| ELECTROMAGNETIC STIRRER OPERATING IN DOUBLE AXIS |
![]() |
| In this paper, a new rotating magnetic stirrer system that is controlled by a programmable-integrated-circuit (PIC) microcontroller and can stir in double axis is developed. In contrast to making a stirring action only at one point, as in the case of traditional electromagnetic stirrers, the system that is developed can rotate at two separate axes. One of the rotations is around the axis of the magnetic stir bar itself, and the other is over a circle defined by a rotating magnetic field. That is, the stirrer makes two rotational motions. This is the main contribution of this paper. The magnetic stirrer system is designed as a three-phase system, and a sinusoidal ramp signal is applied to the phases as the supply voltage. During the design stage, the mathematical model of the system was obtained, and the parameters affecting the design were determined. Based on these parameters, a parameter set was established. This parameter set can be used for subsequent design studies of the system. A PIC-based control circuit is used to control the frequency of the supply voltage. The structure of the double-rotating electromagnetic stirring system is explained. The physical conditions affecting the double-axis rotational motion of the magnetic stir bar are discussed in detail. It was observed that a more homogeneous stirring process could be achieved with this kind of double-axis rotation. |
| A MULTI-SENSOR NETWORK FOR DIRECTION FINDING OF MOVING FERROMAGNETIC OBJECTS INSIDE WATER BY MAGNETIC ANOMALY |
![]() |
| In this study. it is aimed to detect remotely the direction and the velocity of a moving object inside water by magnetic anomaly by the use of a multi-sensor network. This study is the extension of single sensor case the results of which are previously published. A three-step approach is used for finding the direction and the velocity of a moving object inside water. First, a uniform magnetic field is established in the test bed that is developed to simulate the practical environment. By the use of this test bed, the magnetic field created is determined. Second, the characteristic relations between the parameters depending upon the length of the ferromagnetic object, magnetic permeability and the direction of the motion of the object appearing in the model of the voltage variation and the direction angle are obtained. Third, a multi-sensor network is utilized for the determination of direction and velocity of any moving object inside the environment. The multi-sensor network produces a moving fixed magnitude voltage wave. The effects of the material magnetic permeability and the length are also studied in this work. It was seen that the relative permeability and the length could affect the magnitude of the wave obtained but not the shape of it. It is seen that the peak of the wave magnitude remained fixed throughout the direction of the motion of the moving ferromagnetic object even the permeability and the length of the object are different. This method clearly shows good results and the direction and the velocity of motions of ferromagnetic objects with different length and magnetic permeability inside water can be detected with high accuracy. it was seen that the number of the sensors and the way to deploy them were important for obtaining the fixed magnitude moving voltage wave in the region. This method is also suitable for the determination of material from which an object is produced. |
| DIRECTION FINDING OF MOVING FERROMAGNETIC OBJECTS INSIDE WATER BY MAGNETIC ANOMALY |
![]() |
| The remote sensing methods by the use of magnetic anomaly are gaining importance in applications of defense technologies and industrial purposes recently. In this study, it is aimed to determine the remote detection, the variation of characteristic of the voltage in the sensor relative to the motion, the effects of material length, magnetic permeability and direction of motion of the object on this characteristic and to convert them to a useful mathematical expression by using magnetic anomaly of ferromagnetic objects such as submarines moving inside water. For this purpose, first of all. a water tank of 1 m(3) is prepared and approximately a homogeneous magnetic field of 10(-3) T is created within this water tank. Ferromagnetic materials with six different lengths and permeabilities are moved in three different directions relative to the position of the sensor by means of a computer controlled x-y scanner designed for this experiment inside this magnetic field. The magnetic change Caused by this motion at the point where the sensor is positioned is detected as the Output voltage of the sensor. A mathematical expression is formulated taken into account the variations of the sensor output voltage with respect to the length, magnetic permeability and the direction of motion of the material and it is validated by the experimental results. This study clearly shows that the existence and the direction of motions of ferromagnetic objects with different lengths and magnetic permeabilities inside water can be detected with high accuracy. |
| A PIC MICROCONTROLLER BASED ELECTROMAGNETIC STIRRER |
![]() |
| A microcontroller based rotating magnetic stirring system has been developed in this study. A mathematical model is proposed to get electromagnetic field solutions. The magnetic stirring system consists of four-phase half-wound coils with phase currents of lambda/2 radian phase difference to achieve a rotating magnetic field. During the application, the liquid to be stirred is placed on the stirrer in a beaker and a magnetic stir bar in the form of a magnet rod is dipped in. The magnetic stir bar, influenced by the magnetic field supplied by the system, stirs the liquid rotating around the center of the rotational field. An adjustment of the frequencies of the voltage applied to these coils is done through a supply circuit with a developed PIC microcontroller. Within the scope of this study, operating principle and the mathematical model of the rotating magnetic stirring system have been discussed. Experimental results for the initial prototype are also presented in detail. Furthermore, parameter optimization for the stirrer is performed. |
| NON-DESTRUCTIVE CRACK DETECTION USING GMI SENSOR |
![]() |
| In this study, the variation of the magnetic flux distribution in a magnetised ferromagnetic material which has inhomogeneity as a crack is studied using giant magnetoimpedance, GMI, sensor. The sensor was moved by a specially designed moving system. The amorphous (Co0.94Fe0.06)(72.5)Si2.5B15 wire was used as a GMI sensor and 1 MHz with 5 mA ac current applied to the GMI sensor. A large decrease in the output voltage of the sensor circuit was observed when the sensor was moved on the top of the crack, after the further movement of the sensor the output voltage came back to the nearly previous value. |
| PULSE INDUCTION METAL DETECTOR: A PERFORMANCE APPLICATION |
![]() |
| Currently, metal detectors are actively used in the detection of treasures, underground cavities, historical artifacts, lost manhole covers and land mines, as well as firearms and other weapons for public security purposes. Metal detectors are categorized into four groups, based on their operating principles. Beat-Frequency Oscillation and Resonant Frequency Oscillation are the two early techniques used in metal detectors. Detectors based on the said principles are not preferred due to frequency stability issues. Induction Balance (IB) and Pulse Induction (PI) detectors are more widely used. Recent studies in the literature are mostly focused on improvement of detection depth, sensitivity, discrimination capability and soil balancing characteristics of metal detectors. There are many variables affecting detection depth, including detector operating frequency, search coil size, minerals in the soil, and target size, shape, type and orientation. Among the aforesaid variables, various studies exist in the literature on search coil size and shape. These studies were conducted in vacuum or in non-metallic media such as sand, not covering parameters such target size, shape, type and orientation. A novel pulse induction metal detector was developed in this study, for the purpose of determining the effects of changes in the aforesaid target-related parameters on detection depth in a medium consisting of soil with metallic properties. First, a three-dimensional mechanical scanner system and the detector’s micro-controller electronics were manufactured in order to ensure position-controlled and parallel-to-the-surface mobility for the detector’s search coil. Subsequently, a data collection module was designed to process the detector’s electronic output data at 24-bit resolution and send data to a computer, as well as a software program to assess and record the data received by the computer. Then, aluminum, brass, iron and copper objects with known geometric properties were buried in a soil with 28.5% magnetic particle content and 4.1% natural humidity, and detector data collected at various positions of the search coil, with the help of the two-dimensional motion of the mechanical system to which it is connected, were transferred to the digital medium. Such field scans, conducted for each object at a height of 5 cm above surface, enabled detection of the (x, y) position where the detector produced maximum output. The search coil was then fixed at such (x, y) positions and the depth of the object to the soil surface was increased in increments of 1 cm along the z-axis. The procedure was repeated until the detector produced zero output, and the data was recorded into the computer. The study discusses the effects of parameters such as object size, shape, type, etc. on maximum detection height for the detector developed. |

































